線形モデルの相互接続
相互接続モデルに対する算術演算
加算、乗算、連結などの行列演算を LTI モデルに適用できます。加算では並列に相互接続を行います。たとえば、次のように入力します。
tf(1,[1 0]) + tf([1 1],[1 2]) % 1/s + (s+1)/(s+2)
これでは、次の伝達関数が出力されます。
Transfer function: s^2 + 2 s + 2 ------------- s^2 + 2 s
乗算では直列に相互接続を行います。たとえば、次のように入力します。
2 * tf(1,[1 0])*tf([1 1],[1 2]) % 2*1/s*(s+1)/(s+2)
これでは、次のカスケード伝達関数が出力されます。
Transfer function: 2 s + 2 --------- s^2 + 2 s
オペランドが異なるタイプのモデルの場合は、出力されるモデル タイプは、優先順位に従って決まります。詳細は、モデル タイプを決定するルールを参照してください。
モデル演算関数の詳細は、モデル相互接続のカタログを参照してください。
また、関数 series を乗算に、関数 parallel を加算の代わりに使用できます。
システムを相互接続するための他の方法
演算子 | 関数 | 出力される伝達関数 |
|---|---|---|
|
| 並列システム |
|
| 並列システム |
|
| カスケード システム |
フィードバック相互接続
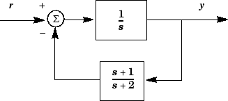
閉ループ モデルを導き出すには、関数 feedback や lft を使用します。以下に例を示します。
sys_f = feedback(tf(1,[1 0]), tf([1 1],[1 2])
これで、下図に示すようなフィードバック ループで、r から y への閉ループ伝達関数を計算します。結果は次のようになります。
Transfer function:
s + 2
-------------
s^2 + 3 s + 1
この図は、システムの相互接続をブロック線図で示しています。
フィードバック相互接続

関数 lft を使用すると、より複雑なフィードバック構造を構築できます。この関数は、2 つのシステムの線形分数変換を構築します。詳細は、リファレンス ページを参照してください。