製品・サービス

MATLAB Support Package for Quantum Computing を使用すると、量子アルゴリズムを構築、シミュレーション、および実行することができます。このサポートパッケージを使用することで、最適化や人工知能 (AI)、機械学習タスク、さらには化学シミュレーションや材料シミュレーションにおける現在解法不可能な問題の求解を加速させるアルゴリズムをプロトタイピングできるようになります。

MATLAB Support Package for Quantum Computing を使用すると、以下を行うことができます。

  • 組み込み済みでカスタマイズ可能なさまざまな複合ゲートを使用した、量子アルゴリズム実装のための回路の構築
  • ローカル コンピューターにおけるシミュレーションを使用したアルゴリズム実装の検証や、クラウドサービス経由のリモート シミュレーターへの接続
  • クラウドサービスを使用した、量子計算ハードウェアへの接続による量子アルゴリズムの実行
  • アルゴリズムと個々の量子ビットの実装を検証するための回路の可視化、および結果の解析とプロット
  • ローカル コンピューターにおける二次制約なしバイナリ最適化 (QUBO) 問題の作成および求解
MATLAB による量子計算を使用したデスクトップマシンの図。

製品ハイライト

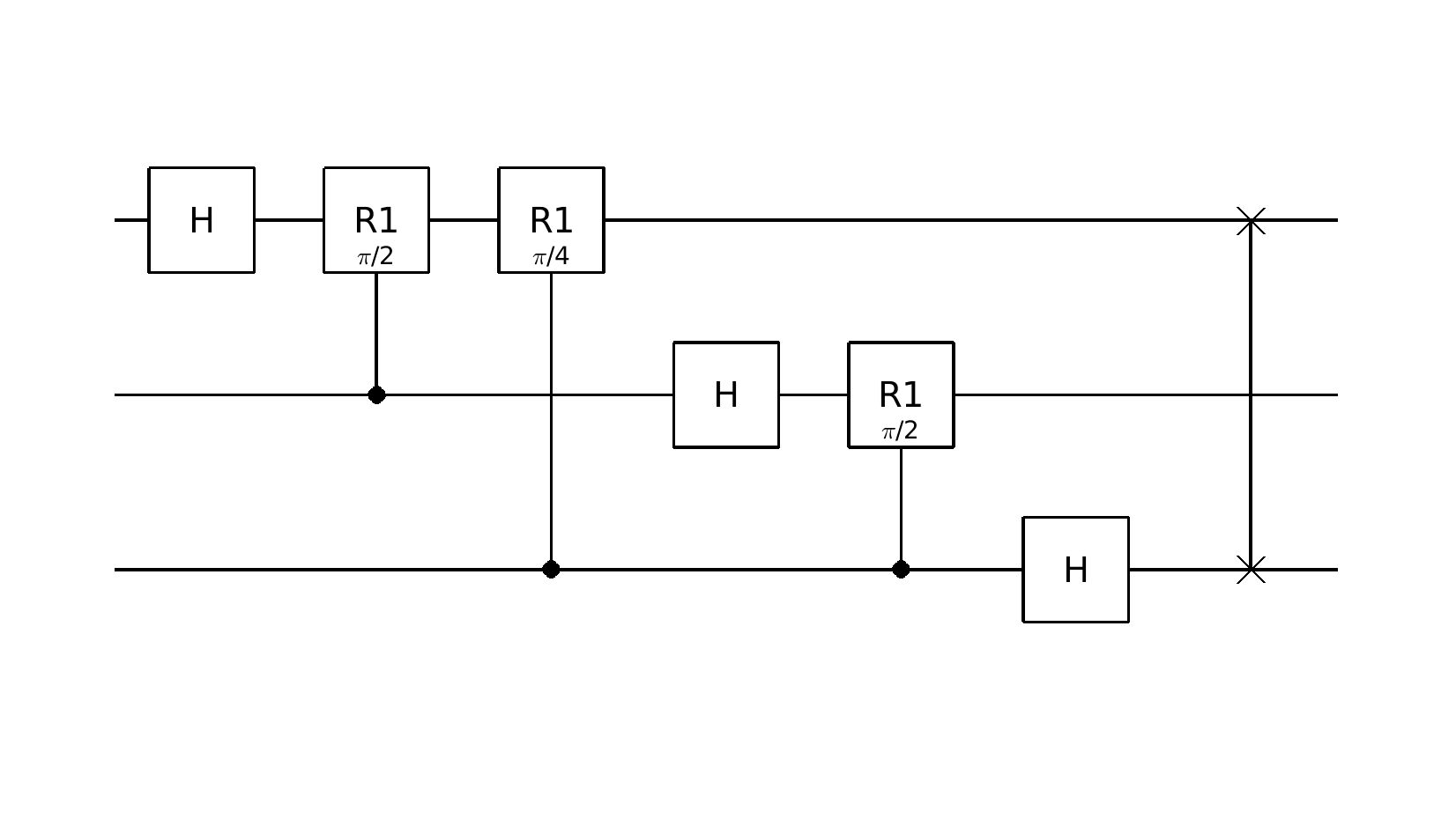
量子フーリエ変換回路のプロット。

量子回路の構築

1 つ以上の量子ビットを操作する量子ゲートのシーケンスを使用して、量子回路を構築します。シンプルな組み込みゲートを使用して、複雑な操作を実現する複合ゲートを作成し、回路を整理します。

ローカル コンピューターにおけるシミュレーションによる量子アルゴリズム実装の検証。

量子アルゴリズムをローカルでシミュレーション

量子アルゴリズムの検証では、ローカル コンピューターにおいてアルゴリズムをシミュレーションし、その動作と期待される結果を確認します。量子状態式の表示、ヒストグラムのプロット、または可能性のある状態のクエリを実行して、結果を検査します。

クラウド経由で量子コンピューターに接続し、アルゴリズムを実行します。

量子コンピューター上でのアルゴリズムの実行

クラウドサービス経由で量子コンピューターに接続し、量子アルゴリズムを実行します。量子ハードウェア プロバイダーが提供する量子シミュレーターを使用して、複雑な量子回路を QPU デバイスで実行する前に検証します。

量子計算の応用例

量子コンピューターを活用して、最適化、機械学習、化学シミュレーション、材料シミュレーションの問題を解きます。​