このページの内容は最新ではありません。最新版の英語を参照するには、ここをクリックします。
細胞のカウント
この例では、基本的なモルフォロジー演算子とブロブ解析を組み合わせて使用して、ビデオ ストリームから情報を抽出する方法を説明します。ここでは各ビデオ フレームに含まれる大腸菌の数をカウントします。細胞の明るさが均一でないためにセグメンテーションのタスクが困難になる点に注意してください。
モデル例
次の図は「細胞のカウント」のモデル例を示したものです。

Segment Cells サブシステム
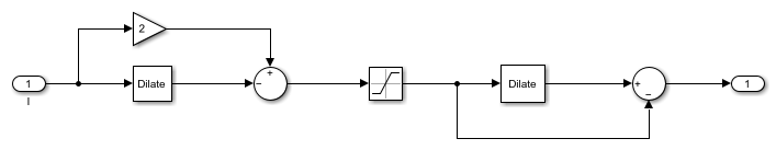
Isolate Cells サブシステム内では、モルフォロジー膨張演算とイメージ算術演算の組み合わせを使用して不均質な明るさを排除し、細胞間の境界を強調します。全体的なライティング強度が変化するため、すべてのビデオ フレームに単一のしきい値を適用することはできません。例では、Autothreshold ブロックを使用して各フレームのしきい値を計算します。

Isolate Cells サブシステム:

細胞のカウントの結果
しきい値を適用して細胞を分離した後、Blob Analysis ブロックを使って各フレームにある細胞の数をカウントし、各細胞の重心を計算します。その後、各フレームにおける細胞の総数を、Display Results サブシステム内の Insert Text ブロックに渡します。このブロックは、各ビデオ フレームにこの情報を組み込みます。
[Cell division rate] ウィンドウには、細菌の指数関数的増殖が示されます。

[Results] ウィンドウには元のビデオの 1 フレームが表示され、検出された細胞の重心位置が緑のマーカーで示されます。左上隅にはフレーム番号とセルの数が表示されます。

データ セットの著作権について
この例で使用したデータセットは、California Institute of Technology® の Jonathan Young および Michael Elowitz により提供されたものです。データは許可を得て使用されています。このデータに関する追加情報については、次を参照してください。
N. Rosenfeld, J. Young, U. Alon, P. Swain, and M.B. Elowitz, "Gene Regulation at the Single-Cell Level, " Science 2005, Vol. 307, pp. 1962-1965.