このページは前リリースの情報です。該当の英語のページはこのリリースで削除されています。
二重供給誘導発電機を利用する風力発電プラント
風力発電プラントの説明
この節の例では、配電システムに接続された 9 MW の風力発電プラントの定常状態と動特性を調べるために、Simscape™Electrical™ Specialized Power Systems ソフトウェアを利用する方法を説明します。
風力発電プラントは、25kV の配電システムに接続された 6 つの 1.5MW 風力タービンで構成されます。このプラントは、25kV の 30km の支線を通り 120kV グリッドまで電力を送ります。モーター負荷 (0.93 PF での 1.68 MW の誘導モーター) と 200 kW の抵抗負荷で構成される 2300 V、2 MVA のプラントは、母線 B25 で同じ支線に接続されます。500kW の負荷は、風力発電プラントの母線 575 V にも接続されます。このシステムの単線結線図は、配電システムに接続される風力発電プラントの単線結線図 に示します。
配電システムに接続される風力発電プラントの単線結線図

風力タービンとモーター負荷は、電圧、電流、マシンの速度をモニターする保護システムをもちます。DFIG の DC リンク電圧もモニターされます。風力タービンは、巻線形誘導発電機と AC/DC/AC IGBT を利用する PWM コンバーターで構成される、二重供給誘導発電機 (DFIG) を使用します。固定子巻線は 60 Hz グリッドに直接接続されますが、回転子は AC/DC/AC コンバーターから可変周波数で供給されます。DFIG 技術では、タービンの速度を最適化すると、低速の風から最大のエネルギーを取り出すことが可能になります。また、突風のときにタービンにかかる機械的なストレスを最小化します。特定の風速に対し最大の機械的エネルギーを生成する最適のタービン速度は、風速に比例します。DFIG 技術の他の利点は、タービンの電力特性 のように、パワー エレクトロニクス コンバーターが無効電力を生成、または吸収できることです。したがって、かご形誘導発電機の場合のように、コンデンサ バンクを導入する必要がなくなります。
このシステムは、風力発電プラント - 二重供給誘導発電機 (DFIG) フェーザ モデルモデルで提示されています。このモデルを読み込み、このモデルにさらに変更を加えることができるように case3 という名前で作業ディレクトリに保存してください。このケース スタディでは、風速が 10m/s よりも低速のときには回転子は同期速度よりも低速で動作し、風速がそれよりも高速になると同期速度よりも高速で動作します。風速が 5 m/s から 16.2 m/s の範囲で、タービンの機械動力はタービンの速度の関数として表示されます。これらの特性は、Turbine data (タービンの電力特性) で指定したパラメーターを使って得られます。
タービンの電力特性

DFIG は、タービンの電力特性 の ABCD 曲線に従うように制御されます。タービンの速度の最適化は、この曲線の点 B と点 C 間で得られます。
風力タービン モデルは、長いシミュレーション時間で過渡安定性のタイプを調べることができる、フェーザ モデルです。このケース スタディでは、このシステムは 50 秒間観測されます。6 つの風力タービンの発電プラントは、以下の 3 つのパラメーターを次のように 6 倍することによって、単一の Wind Turbine ブロックでシミュレーションが実行されます。
- 基準の風力タービン出力の機械力: 6*1.5e6 Watts。 - Turbine dataメニューで指定します。
- 発電機の定格の電力: 6*1.5/0.9 MVA (0.9 PF で 6*1.5 MW)。 - Generator dataメニューで指定します。
- 基準の母線 DC のコンデンサ: 6*10000 マイクロファラッド。 - Converters dataメニューで指定します。
操作モードは、[Control Parameters] ダイアログ ボックスで [Voltage regulation] に設定されます。端子電圧は、基準電圧 (Vref = 1pu) と電圧降下 (Xs = 0.02pu) によって制御された値になります。
風速の変化に対するタービンの応答
風速の変化に対するタービンの応答を観測します。はじめに、風速は 8 m/s に設定され、t = 5 秒において、風速は突然 14 m/s に増加します。突風の波形 (電圧調整モードの風力発電プラント)では、このシミュレーションに使われる波形を説明します。t = 5 秒において、タービンの速度の増加と共に生成される有効電力が滑らかに増加し始め、およそ 15s で、その定格値 9MW に達します。その期間を過ぎると、タービンの速度は 0.8pu から 1.21pu まで増加します。はじめに、タービン翼のピッチ角は 0 度です。タービンの動作点は、点 D までタービンの電力特性の赤い曲線に従います。次に、ピッチ角は 0 度から 0.76 度まで増加し、機械動力を制限します。電圧と生成された無効電力も観測してください。無効電力は、1pu 電圧を維持するように制御されます。基準電力で、風力タービンは 0.68Mvar (生成される Q = -0.68Mvar) を吸収して、1pu で電圧を制御します。[Generated reactive power Qref] を 0 に設定して動作モードを Var regulation に変更すると、風力タービンが力率 1 で基準電力を生成するときに、電圧が 1.021 pu まで増加することが観測されます (突風の波形 (Var 調整モードの風力発電プラント))。
突風の波形 (電圧調整モードの風力発電プラント)

突風の波形 (Var 調整モードの風力発電プラント)

120kV システムでの電圧低下のシミュレーション
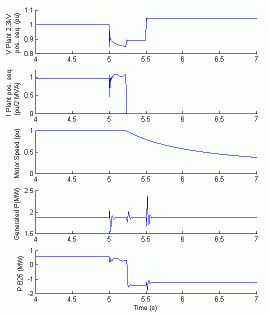
ここでは、120kV システムにおいて遠隔の障害により生じる電圧低下の影響を観測します。このシミュレーションにおいて、最初の動作モードは Var regulation です。ここで、Qref = 0 であり、風速は 8 m/s で一定です。0.5 s 続く電圧低下 0.15 pu は、120 kV 電圧源メニューにおいて、t = 5 秒 に起こるようにプログラムされます。このシミュレーション結果は、120kV システムでの電圧低下 (Var 調整モードでの風力発電プラント)で説明します。モーター回転数の他にプラントの電圧と電流を観測してください。風力発電プラントが 1.87MW を発電することに注意してください。t = 5 秒において、電圧は 0.9pu よりも低下し、t = 5.22 秒において、保護システムはプラントを始動します。これは、0.2s を超えて続く電圧低下が検出されたためです。つまり、プラント サブシステムの保護の設定を超えたためです。プラントの電流は 0 まで低下し、モーター回転数が徐々に減少します。一方、風力発電プラントは 1.87MW の電力レベルで生成を続けます。プラントが始動後、電力 1.25MW (母線 B25 で測定される P_B25) がグリッドに送られます。
120kV システムでの電圧低下 (Var 調整モードでの風力発電プラント)

ここで、風力タービンの制御モードが Voltage regulation に変更され、シミュレーションが繰り返されます。プラントが動作していないことがわかります。この場合、電圧低下の期間に風力タービンで生成される 5Mvar の無効電力が供給する供給電圧により、プラント電圧が保護しきい値 0.9pu よりも大きな値に保たれるためです。電圧低下期間のプラントの電圧は、ここで 0.93pu (120kV システムの電圧低下 (電圧調整モードでの風力発電プラント)) です。
120kV システムの電圧低下 (電圧調整モードでの風力発電プラント)

25kV システムの障害のシミュレーション
最後に、25 kV ラインで起こる、単相地絡故障の影響を観測します。t = 5 秒において、9 サイクル (0.15 秒) 相地絡故障が、母線 B25 での A 相に導入されます。風力タービンが Voltage regulation モードにあるとき、風力タービン端子 (V1_B575) での正相電圧は、故障時に 0.8 pu まで低下します。これは、不足電圧保護のしきい値 (t > 0.1 秒の場合に 0.75 pu) よりも大きな値です。したがって、風力発電プラントは稼動した状態のままです (母線 B25 での障害時の風力発電プラントの波形 (電圧調整モードの風力発電プラント))。しかし、Var regulation モードが Qref = 0 で使用されると、電圧は 0.7pu よりも低下し、不足電圧保護により風力発電プラントが作動します。ここで、タービンの速度の増加が観測できます。t = 40 秒において、ピッチ角が増加しはじめ、速度を制限します (母線 B25 での障害時の風力発電プラントの波形 (Var 調整モードの風力発電プラント))。
母線 B25 での障害時の風力発電プラントの波形 (電圧調整モードの風力発電プラント)

母線 B25 での障害時の風力発電プラントの波形 (Var 調整モードの風力発電プラント)
