ハイブリッド線形アクチュエータ
この例では、DC モーターと、親ねじと直列に接続された圧電スタックで構成されるハイブリッド アクチュエータを示します。DC モーターと親ねじの組み合わせは大規模な変位 (数十ミリメートル) に対応しますが、基準要求 x_ref を追跡するときには動的に遅くなります。一方、圧電スタックは最大±0.1 mm の変位にしか対応しませんが、動的応答が非常に高速です。2 つのアクチュエータ テクノロジーを組み合わせることで、位置決めがきわめて正確で、ストロークの大きなアクチュエータが作成されます。
応用例として、衛星を追跡する際のアンテナ指向制御が挙げられます。衛星から衛星に移動するためには、数秒間で測定した時定数をもつ大きい振幅の運動が必要ですが、与えられた非静止衛星を追跡するには細かい制御が必要になります。
ステップ入力を 0.05 mm に設定すると、細かい制御でのシステム パフォーマンスが示されます。初期運動が圧電スタックによって提供され、その後 DC モーターの回転子の角度が新しい操作点に移動するのに伴ってウォッシュアウトされます。入力を 10 mm に設定すると、より大きな入力に対するシステム パフォーマンスが示されます。
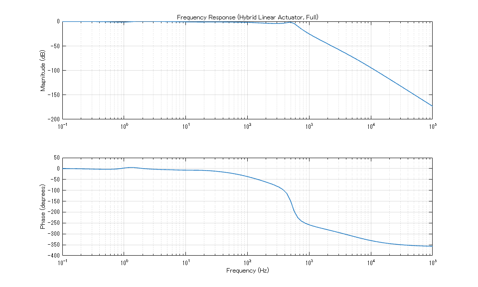
このモデルを使用して、システムの周波数応答を取得できます。MATLAB® コマンド linmod を使用して、モデルを線形化できます。Simulink® Control Design™ をお持ちの場合、アクチュエータの全体的なパフォーマンスを理解するための良い方法は、ボード線図をプロットすることです。モデル HybridLinearActuator を開きます。[アプリ] タブの [制御システム] で、[モデル線形化器] をクリックします。モデル線形化器の [線形解析] タブの [線形化] セクションで、[ボード線図] をクリックします。Abs ブロックを 0 付近で線形化することを回避するため、電流コントローラー積分器の初期状態が非ゼロの小さい数値に設定されていることに注意してください。DC モーター自体のボード線図を生成するために、圧電スタックを無効にできます。
モデル

Simscape ログからのシミュレーション結果
以下のプロットは、制御システムが基準入力の追跡を試みる際のアクチュエータの伸張を示しています。Piezo Stack は DC モーターよりはるかに高速な応答が可能ですが、範囲が限定されています。制御システムはそれらを併用して、基準信号を追跡します。
ステップ入力 10 mm でのテスト

ステップ入力 0.05 mm でのテスト

周波数応答
フル ハイブリッド アクチュエータの周波数応答

DC モーターのみの周波数応答
