直交座標および極座標での振子
この例では、平面振子の 2 つの異なる実装を示します。
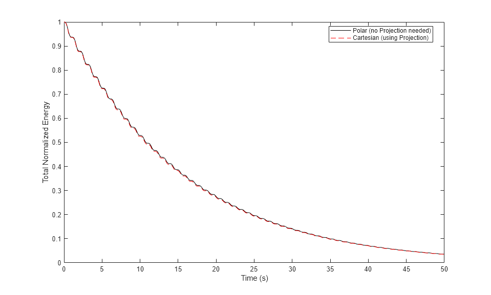
直交座標での実装には高い微分指数があり、このモデルをシミュレートするには投影法を使用した非線形の指数減少が必要であることを意味します。
極座標での実装には高い微分指数はなく、非線形の指数減少が不要であることを意味します。
モデル

モデル設定
平面振子の直交の実装では微分指数が 3 であり、微分置換と互換性がありません。この実装をシミュレートするには [投影] 法を使用する必要があり、[なし] または [微分置換] ではシミュレーションが正常に実行されません。
Simscape ログからのシミュレーション結果
次の図は、振子の角度を時間の関数として示したものです。モデルでの減衰によって振幅が小さくなっていきます。

